Wie wird die Solo-Mining-Wahrscheinlichkeit berechnet?
Wir haben kürzlich eine neue „Catch the Block“-Funktion veröffentlicht a new "Catch the Block" feature. In diesem Artikel werfen wir einen Blick darauf, wie Solo-Mining funktioniert und wie die Wahrscheinlichkeit berechnet wird, einen Block auf der Blockchain zu „fangen“ oder zu finden.
Was ist Solo-Mining?
Solo-Mining ist ein Versuch, Transaktionsblöcke auf dem zu bestätigen Blockchain allein als einzelner Miner. Mit anderen Worten, Solo-Mining ist eine Möglichkeit, Kryptowährungen ohne Pools zu minen.
Satoshi Nakamoto schrieb: „eine CPU, eine Stimme“, was bedeutet, dass jede Person, die zu Hause einen PC besitzt, für ein Protokoll-Upgrade oder jede andere Entscheidung auf der Blockchain stimmen könne.
Damit jemand über die Blockchain abstimmen kann, muss er/sie einen Knoten einrchten. Dann kann der Miner über diesen Knoten mit dem Mining beginnen. Der Miner konkurriert mit anderen Knoten und Minern, um zuerst den Transaktionsblock zu bestätigen. Dies wird Solo-Mining genannt. Ein Miner versucht, Blöcke zu bestätigen, indem er selbst schürft, ohne die Hilfe anderer (Pools).
Das Gegenteil des Solo-Minings ist das Pool-Mining. Das Pool-Mining ist dem Solo-Mining sehr ähnlich. Anstatt, dass der Miner versucht, den Block selbst zu bestätigen, erhält er Hilfe von anderen Minern, wodurch die Wahrscheinlichkeit erhöht wird, den Block zu finden oder zu fangen. Alle Miner teilen die Belohnungen basierend auf dem Arbeitsaufwand, den sie geleistet haben.

In diesem Artihkel über das Solo-Mining, können Sie mehr darüber rerfahren, was Solo-Mining ist.
Wie hoch ist die Wahrscheinlichkeit, den Block beim Solo-Mining zu erwischen?
Solo-Mining ist heutzutage sehr vom Glücksfaktor abhängig. Einige Leute versuchen, Bitcoin mit nur einer ASIC-Maschine zu minen, aber sie haben auch die Möglichkeit, den Block zu bestätigen und eine erstaunliche Belohnung von 6.25 BTC zu erhalten! Die Wahrscheinlichkeit, einen Block zu finden, hängt stark von der Menge an Hashrate ab, die ein Solo-Miner für das Mining verwendet.
Wenn der Miner 1/3 der gesamten Hashrate des Blockchain-Netzwerks hat, wird er statistisch jeden dritten Block fangen.
Werfen wir einen Blick auf Solo-Mining mit einem der besten ASICs und wie hoch ist die Wahrscheinlichkeit, einen Block zu finden.
AntMiner S19 XP Geschwindigkeit: 140 TH/s
Bitcoin Network Hashrate: 215,370,000 TH/s
Bitcoin Block -Zeit: 10 Minuten
Im obigen Beispiel hat der AntMiner S19 XP 1/1538357 der Netzwerk-Hashrate. Der Miner hat eine Chance von 0,000065 %, den Block alle 10 Minuten zu fangen. Das bedeutet, dass er statistisch alle 1538357 Blöcke oder 10683 Tage einen Block fängt, was 29 Jahren entspricht.
Wie hoch ist die Wahrscheinlichkeit, den Block beim Solo-Mining mit NiceHash zu erwischen?
Catch the Block von NiceHash funktioniert sehr ähnlich wie das Solo-Mining mit einem ASIC. Außer, dass Sie Hashing-Power für einen bestimmten Zeitraum kaufen. In diesem Zeitrahmen haben Sie die Chance, einen Block zu finden und die volle Belohnung zu erhalten.
Ein weiterer Unterschied besteht darin, dass NiceHash es Ihnen ermöglicht, verschiedene Pakete zu kaufen. Sie können ein Paket mit einer kleineren Hashrate kaufen, zahlen weniger dafür, haben aber geringere Chancen, einen Block zu finden. Oder Sie können den größeren kaufen und mehr bezahlen und so die Chance erhöhen, den Block zu fangen.
Schauen wir uns ein Beispiel für die Wahrscheinlichkeit an, einen Block beim Solo-Mining von Bitcoin zu erwischen.
Gold L -Paketpreis: 0.01 BTC oder ≈ €195 EUR zum Zeipunkt des Schreibens dieses Artikels
Bitcoin Network-Hashrate: 215,370,000 TH/s
Bitcoin Block-Zeit: 10 Minuten
PacKet-Zeit: 60 Minuten (kann länger oder kürzer dauern)
Durch den Kauf des Gold L-Pakets zum oben genannten Preis (Preis schwankt) erhalten Sie 12652,6 TH/s Hashing-Geschwindigkeit für eine bestimmte Zeit, sagen wir zum Beispiel, es dauert 60 Minuten. Sie haben eine Chance von 0,00587 %, einen Block zu finden. Da das Paket 60 Minuten lang aktiv ist und die Bitcoin-Blockzeit 10 Minuten beträgt, haben Sie die Chance, mehr als 1 Block zu fangen (wenn auch sehr gering)!
Das Beste daran ist, dass Sie mit nur einem gekauften Paket mehrere Blöcke fangen können:
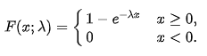
Wahrscheinlichkeitsformel
Nehmen Sie einen Poisson-Prozess an, um die Blockeankünfte zu modellieren. Ein Poisson-Prozess ist ein Prozess, bei dem neue Ereignisse (oder Ankünfte) in zufälligen Intervallen nach der Exponentialverteilung auftreten. Ein wesentliches Merkmal einer Poisson-Verteilung ist gedächtnislos; die Intervalle zwischen zwei beliebigen Ereignissen sind voneinander unabhängig und statistisch identisch.
Die Wahrscheinlichkeit, dass ein Ereignis mindestens einmal in einem bestimmten Zeitintervall auftritt, ist das Komplement des Ereignisses, das nie eintritt. Wir können dann die Wahrscheinlichkeit mindestens eines Auftretens in weniger als einem bestimmten Zeitintervall mithilfe der exponentiellen kumulativen Verteilungsfunktion (CDF) definieren:
